返回   青蛙论坛 » 青蛙摄影论坛 » 摄影杂谈
用户名
密码
帮助 会员 日历 标记论坛为已读

 
 
主题工具 显示模式
旧 08-06-2001, 14:56   #1
chyangwa
蝌蚪-小毛驴
 
chyangwa的头像
 
注册日期: Nov 2000
来自: 上海
帖子: 8,285
精华: 6
实测两款专业人像负片


实测两款专业人像负片

林铜

近期,中央美术学院摄影工作室硕士研究班的林铜同学对两款专业人像负片进行了一次测试对比。其目的主要是检测两款胶片的基本性能和实际效果,测试胶片为富士NPS160专业负片和柯达GPX160专业负片,测试过程为:首先确认胶卷的实用感光度,然后在相同条件下拍摄模特,并自行进行冲洗、扩印比较。由于受到无法了解所测胶卷在购买前的储存标准,以及拍摄器材未经测试等条件限制,所以本文所提供的测试结果仅供读者参考。

——编者




富士NPS160和柯达GPX160是两款拍摄人像时经常使用的专业负片,其厂家的技术宣传资料中都分别提到,该产品应用在人像摄影领域中会有优质的表现。如富士的技术资料阐述,NPS160能使肤色更自然,最佳的灰色平衡,高光部分和阴影部分的层次巨细无遗。幼细颗粒技术可使微粒更敏感、更细小,影像更细致,满足专业的需要。柯达的技术资料中提到,GPX160适宜于拍摄婚纱照、人像,且颗粒幼细。影像清晰度、曝光宽容度、色彩及肤色重现精确度等各方面极其卓越。但是我们平时使用的NPS160和GPX160彩色负片结果如何呢?实际得到的影像结果是否与厂家所宣传的一致呢?所以对两款人像专业彩色负片进行科学准确的比较,有着实用的价值和意义。笔者采用以实用ISO感光度拍摄,并将可变因素降至最低,在尽可能同一的条件下冲扩制作出的图片进行比较。


在测试过程中首先进行的是两款彩色负片实用感光度的测定,彩色负片的实用感光度测定主要是以感红层的速度为计算标准。因为一般情况下负片的感红层的速度会略低于感绿层和感蓝层,感红层的曝光正确了,其它两层不会出现曝光不足的现象。彩色负片速度点的确定是以片基灰雾+0.15点为标准的。实用感光度测定的目的是使NPS和GPX处于同一测试状态下,使之获得相对合理的对比结果。扩印时将色板的“中灰”校正为标准“中灰”做为参照值,而不以其它因素做为参照,因为这样才可以对高光和阴影部分的色彩进行对比,并可观察肤色还原和反差是否合适。

使用器材及操作步骤

使用设备为:120负片,富士NPS160同一批号三卷,柯达GPX160同一批号三卷;哈苏相机,160mm镜头;美能达SPOTMETER F测光表,色卡,三脚架;爱玲珑影室闪灯,柔光罩。

拍摄工作在影室中进行,以加用柔光罩的爱玲珑闪灯正面照射色卡及模特;从机位以点测光方式测取色卡的中灰的反射光量,以此值为曝光标准,在上述六卷胶片上进行从-5至+5的包围曝光。

确定实用感光度:以密度仪的Status M方式测量,画出特性曲线;同时画出感光度-显影时间表、反差-显影时间表、偏色-显影时间表、片基灰雾-显影时间表;确定两种胶片的实用感光度为ISO64,显影仍为标准的3分15秒。

以ISO64的实用感光度,在相同的影室布光条件下,拍摄相同的模特;

冲洗采用C-41工艺,对富士NPS160、柯达GPX160各三卷,实施2、3.15、6分钟显影。并采用标准RA-4工艺扩印成7英寸样片,将富士NPS160负片印于富士光面纸和柯达光面纸上,将柯达GPX160负片印于富士光面纸和柯达光面纸上。色卡的中灰校正为标准中灰。

反差的计算是以r值为计算方法的。

测试中的局限性

由于条件所限,所以两款胶片的测试过程中难免有受限制之处,其中有可能出现细微误差的部分如下:

胶片特性曲线及实用感光度测定的一系列曲线误差是否在可接受的范围内;

拍摄时的闪灯输出的电压是否是衡定的;

C-41槽式冲洗的搅动是否是标准的;

器材店胶卷的储存条件是否是标准的;

拍摄用的哈苏相机及镜头是否具有良好的精度;

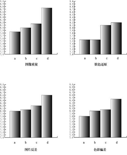
实际拍摄的效果

通过下列的四张样片可以看到两款专业负片的实拍效果非常接近,很难分出伯仲。仔细观察只是柯达GPX160负片印于富士光面纸的样片具有微弱的优势,并且在每一细项上也都占有极小的优势。




结果综述

经过对NPS160和GPX160的测试,可以看到两款胶片及其最终的扩印结果是非常接近的,需要进行人像摄影的拍摄者和被摄者可任选其一。如果希望众多的消费者接受的话,我认为可使用柯达GPX160负片拍摄并扩印于富士光面纸的搭配方式。另外,本文所提供的资料和信息具有可重复性,有兴趣的读者只要按照测试步骤正确操作,也可进行相同的测试。◆

摘自:大众摄影2000-1
chyangwa离线中   回复时引用此帖
 


主题工具
显示模式

发帖规则
不可以发表新主题
不可以回复主题
不可以上传附件
不可以编辑您的帖子

vB 代码开启
[IMG]代码开启
HTML代码关闭
论坛跳转



所有的时间均为北京时间。 现在的时间是 12:16.


NewvBB Core 1.1 Final - vBulletin v3.0.3
中文化与插件制作 NewVBB.com™ 2025。
友情连接        
摩托车.上海.中国        
         
         
         
         
         

上海市通信管理局
沪ICP备010502
沪ICP备05000578号